| app | ||
| resources | ||
| src/Rextra | ||
| test | ||
| .gitignore | ||
| LICENSE | ||
| package.yaml | ||
| README.md | ||
| Setup.hs | ||
| stack.yaml | ||
| stack.yaml.lock | ||
rextra
At the moment, rextra can display DFAs and NFAs using Graphviz, convert between NFAs and DFAs, and minimize DFAs.
The representation of DFAs and NFAs assumes an infinite alphabet:
-
DFA states always contain a default transition (marked with
*in the visualisations), which is taken if the current token doesn't appear in any of the other transitions. -
NFA transitions either apply to a set of tokens, or to all tokens except a specified set. In the visualisation, the character
Σdenotes the alphabet of tokens.
Example
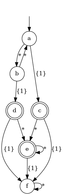
This example minimizes the DFA shown on the wikipedia article about DFA minimization.
Transitions for the token 1 are specified explicitly (where
necessary), while transitions for the token 0 are represented by the
default transition marked with *.
This ghci session shows the minimization of the DFA mentioned above.
>>> Just a = dfa [ ("a",[('1',"c")],"b"), ("b",[('1',"d")],"a"), ("c",[('1',"f")],"e"), ("d",[('1',"f")],"e"), ("e",[('1',"f")],"e"), ("f",[],"f") ] "a" ["c","d","e"]
>>> saveDotAsPng "dfa.png" $ dfaToDot a
>>> saveDotAsPng "dfa_minimized.png" $ dfaToDot $ minimizeDfa a

