This website requires JavaScript.
Explore
Help
Register
Sign in
Garmelon
/
rextra
Watch
1
Star
0
Fork
You've already forked rextra
0
Code
Issues
Pull requests
Projects
Releases
Packages
Wiki
Activity
Actions
868f4e203f
rextra
/
resources
/
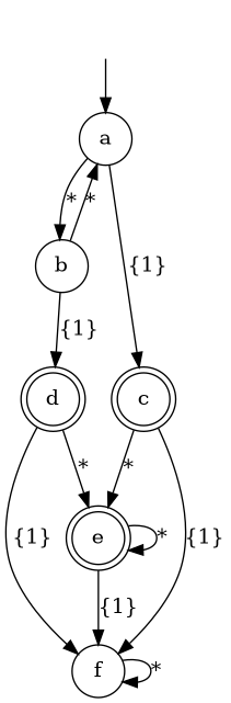
minimization_example_dfa.png
Joscha
d164af275e
Prepare files for making repository public
2019-10-31 19:33:43 +00:00
30 KiB
211x641px
Raw
History